北京林业大学英文网

Research Highlights

Latest Progress in Plant Polyploid Linkage Disequilibrium by the College of Biological Sciences and Biotechnology

  

Dec. 09 2021

Latest news

Recently, the latest research result of computational biology team from the College of Biological Sciences and Biotechnology “A framework to model a web of linkage disequilibria for natural allotetraploid populations” was published in “Methods in Ecology and Evolution” (Top, IF: 7.78) online and arouse wide attention in international academic circle.

 

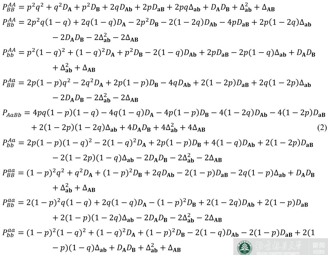
Linkage disequilibrium (LD) is an important genetic parameter used to infer the genetic diversity of natural populations and their evolutionary history, and it has long been a major focus of population and evolutionary studies. Traditionally, LD is defined as the non-random association of non-alleles at different loci in gametes for diploids, but has a limited use for polyploids. In spite of the fact that a variety of statistical methods have been developed to estimate and test diploid gamete-specific LD, there have been no effective concept and tool to study how to apply LD to population genetic problems in polyploids.

 

Researchers of BFU computational biology team formulated a framework to define tetraploid-specific LD including (a) Hardy–Weinberg disequilibria at each locus, (b) composite digenic disequilibrium, (c) trigenic disequilibrium and (d) composite quadrigenic disequilibrium at different loci. These four types of disequilibria affect population variation singly or jointly through a web.

 

Wu’s EM algorithm was implemented to estimate each disequilibrium parameter and verify its significance in allotetraploid populations through likelihood-ratio test. Wu’s algorithm is a simplified EM algorithm proposed by professor Wu Rongling, a statistical geneticist in BFU, for genetic linkage analysis in the early years. It has many key features, such as fast derivation of the formula (dispense with derivation), high calculation efficiency and excellent precision of parameter estimation. In complex polyploid LD analysis, this algorithm is five to ten times more efficient than the traditional partial derivative estimation method.

 

 

 

Researchers performed computer simulation to examine the statistical effectiveness of the model, and analyzed population genetic data of allotetraploid switchgrass. The genomic distribution of LD of southern and northern switchgrass on different chromosomes were charted to estimated and compared the parameters so as to infer the evolutionary history of switchgrass. Through computer simulation and statistic analysis the practical usefulness of the model was demonstrated which provides a tool to study the population diversity and evolution of polyploid populations.

 

Polyploids are a group of species that play an important role in biological research and plant breeding. Unlike diploids, polyploids, possessing more than two complete sets of homologous chromosomes, produce diploid or multiploidy gametes in which alleles at the same locus and non-alleles at different loci form a complex web of associations. Existing LD models developed for diploids have little power to characterize the sign and magnitude of LD that occur within the gametes of polyploids. The new model proposed by the computational biology team of BFU have filled the gaps in polyploid population genetics research.

 

 

The first author of“A framework to model a web of linkage disequilibria for natural allotetraploid populations” is Yang Dengcheng, a doctoral candidate at the College of Biological Sciences and Biotechnology, and the corresponding author is Professor. Wu Rongling. Li Fan, Wang Jing, Dong Ang from the college were also participated in the research.

 

Paper link: https://besjournals.onlinelibrary.wiley.com/doi/10.1111/2041-210X.13757